Contoh Kertas Kerja Program Melukis
Maklumat pertandingan pertandingan melukis. Popular Total Pageviews Powered by Blogger Labels Bau Bawang Cara Contoh Di Facebook Huruf Kertas Melukis Mengetahui Nak Orang Page Program Putih Seni wallpaper Yang Report Abuse Archive 2022 5 July 1.
Kertas Kerja Aktiviti An Melukis Poster Pdf
19 likes 36649 views.
. Kertas kerja pertandingan melukis by karen_bing_1. Tujuan pengembangan bakat dan minat bidang seni lukis ini erat berkaitan dengan manfaat yang diperoleh dari penyelenggaraan kegiatan seperti dikatakan oleh Jelantik 1999 yaitu. PaperCraft Word Canon Printer.
51 Program melukis Poster 17 24 April 2013 52 Lawatan ke rumah orang tua 8 Mei 2013 53 Pelancaran Hari Warga Tua 1 Oktober 2013. Program Bebas Dadah Sekolah Kebangsaan Bukit Besi Bermulanya Disini Poster Mewarna Terbaru Ppda Anti Dadah Poster 2017 Ilustrasi Jom Download Pelbagai Contoh Gambar Sekolah Bebas Dadah Poster Cantiknya. Ilustrasi kertas kerja melukis mural ini dipetik dari pemilik berikut.
Kertas Kerja Instruksional ke Arah Transformasi Sekolah. Kad raya masih relevan tidak kolot. KERTAS KERJA PROGRAM LAWATAN SAMBIL BELAJAR ASRAMA SMK MEROTAI.
Kertas kerja hari keluarga. Download Contoh Kertas Kerja Lukisan Mural Yang Gempak Dan Boleh Di Muat Turun Dengan Cepat. Contoh Laporan Prakerin dan Format Umum.
Jadual mengulangkaji pelajaran ketika hari biasa adalah berbeza dengan jadual mengulangkaji ketika menghadapi peperiksaan. Contoh hasil kerja saya by a craft design semua hasil seni ini merupakan buatan saya sendiri. Kertas Kerja Pertandingan Bowling Integrasi Majlis Guru Kaunseling KL 2018.
Kertas cadangan pertandingan melukis. Apr 23 2018 3 gambar mewarna kad selamat hari raya aidilfitri untuk pertandingan mewarna sekolah. Contoh serta format kertas kerja projek adalah seperti berikut.
Pengenalan kerja kursus pertanian kertas. Adalah diharapkan aktiviti yang telah dirancang mendapat sambutan yang baik dari semua pihak sama ada guru atau murid dan juga ibu bapa. Penutup Contoh Kertas Kerja.
KERTAS KERJA Pengindahan dan Rekabentuk Landskap Sungai Galing Kecil Kuantan Pahang. Contoh laporan kertas kerja projek internship. B OBJEKTIF i Menarik minat.
Peserta menerangkan kepada ahli kumpulan mengapa gambar tersebut melambangkan dirinya. PPP Contoh kertas kerja program pelajar. Guru memperkenalkan nama-nama kenderaan air kepada murid.
4 x RM 5 RM 20. Kertas Kerja Program Kesedaran Henti Buli Peringkat Sekolah. Contoh kertas kerja pertandingan mewarna.
If you want to Save Kertas Kerja Pertandingan Melukis Poster Anti Dadah Himpunan Poster with original size you can click the Download link. Salmahhamid89 menerbitkan KERTAS KERJA SAMBUTAN BULAN KEMERDEKAAN 2021 pada 2021-08-24. Contoh Kertas Kerja Program Melukis By Ra_Alyvia619 06 Jun.
Format kertas kerja permohonan untuk menjalankan aktiviti uitm pahang kampus kuantan tajuk kertas kerja. Kertas Kerja Memohon Sumbangan Dana. Contoh Kertas Kerja Paperwork 1.
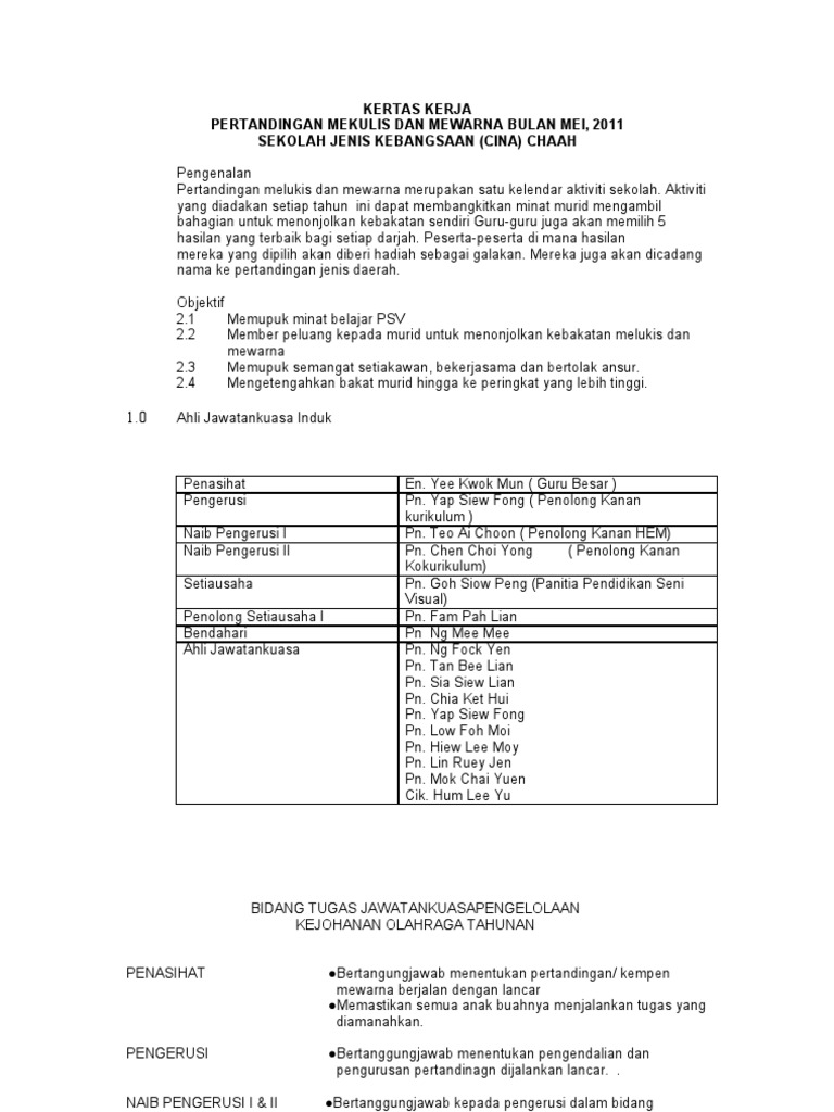
Picture 124322544 kertas kerja pertandingan melukis dan mewarna doc document ini. Kertas konsep kertas kerja pertandingan mekulis dan mewarna bulan mei 2013 sekolah jenis kebangsaan chung hua sikamat 10 pengenalan pertandingan melukis. Kertas konsep kertas kerja pertandingan mekulis dan mewarna bulan mei 2013 sekolah jenis kebangsaan chung hua sikamat 10 pengenalan pertandingan melukis.
4 x RM 30 RM 120. Tujuan dan Manfaat Pengembangan Bakat dan Minat Bidang Seni Lukis. 4 x RM 10 RM 40.
Semoga usaha murni ini dapat memberi manfaat sepenuhnya kepada. Diharapkan setiap program yang dirancang dapat dilaksanakan dengan jayanya dan dapat mencapai objektif yang diingini. Contoh 2 kertas kerja ihya ramadhan.
Jadual ulangkaji ketika peperiksaan haruslah dibina berdasarkan. 1 Buat Jadual. 83 Contoh Kertas Kerja Program Sekolah.
4 x RM 20 RM 80. 3 Cara Untuk Melukis Awan Wikihow. PROJEK GURU PELATIH PISMP AMBILAN JANUARI 2011 INSTITUT PENDIDIKAN GURU KAMPUS BATU LINTANG 10 Pengenalan Projek melukis mural merupakan antara tugasan yang perlu dilaksanakan oleh guru pelatih sepanjang.
Contoh kertas kerja pertandingan. Lokasi Bilangan Penerima 1 Perlis 200 2 Kedah 200 3 Pulau Pinang 100 4 Perak 100 5. Berikut ini adalah hal-hal yang harus tercantum di bagian awal laporan Prakerin SMK.
Gansforever osman contoh kertas kerja an melukis. No comments for Contoh Kertas Kerja Program Melukis Post a Comment. Kemudian peserta dikehendaki melukis gambar yang menggambarkan dirinya.
Contoh kertas kerja mohon peruntukan membeli peralatan sukan. A Cara belajar yang cemerlang b Membuat nota yang lebih berkesan c. 12631262 Contoh Kertas Kerja Rancangan Perniagaan Projek Tanaman Cili Cabai Petani.
Memperdalam pengertian tentang rasa indah pada umumnya dan tentang kesenian pada. 153 Ceramah Motivasi Diri Antara pengisian ceramah tersebut adalah. Hari raya 1 Ihya Ramadhan 3 Kertas Kerja 1 Maal Hijrah 1 PROGRAM j-QAF 1 Free Clock.
Umumnya pelajar tidak dapat menyusun kehidupan rutin belajar mereka dengan baik dan jika ada pun mereka gagal mengikutinya dengan tekal. Pilih gambar yang anda suka.
Contoh Kertas Kerja An Melukis Pdf
Kertas Kerja Pertandingan Melukis Dan Mewarna Pdf
Kertas Kerja Pertandingan Melukis Dan Mewarna Bulan Kemerdekaan Pdf

No comments for "Contoh Kertas Kerja Program Melukis"
Post a Comment